Continuous time

trajectory estimation for 3D SLAM

from an actuated 2D laser scanner

Adrian Haarbach's master's thesis defense

abstract

“ This thesis aims at estimating trajectories for 3D SLAM applications. A continuous time formulation allows solving multiple problems inherent to the traditional discrete time approaches seamlessly, such as sensor fusion of actuated 2D laser scanner data with inertial measurements. Special care is taken when choosing an appropriate trajectory representation. The well-known ICP algorithm used for rigid registration is extended significantly so it can deal with continuous-time, multi-view registration of deformable scans. The resulting algorithm can be employed online in a time-windowed fashion to get an open-loop trajectory estimate and offline for global optimization to further reduce the drift. In contrast to previous work we are able to provide ground truth data for evaluation by extending an existing simulator so that it can simulate actuated 2D laser scanner data with corresponding inertial measurements. Experiments on synthetic data with different scenarios, noise levels and parameter settings show the versatility, stability and adaptability of our algorithm as well as its high overall accuracy.”
\[ \newcommand{\real}{\mathbb{R}} \newcommand{\rthree}{\real^3} \newcommand{\SOthree}{\mathrm{SO}(3)} \newcommand{\sothree}{\mathfrak{so}(3)} \newcommand{\SUtwo}{\mathrm{SU}(2)} \newcommand{\sutwo}{\mathfrak{su}(2)} \newcommand{\spherethree}{\mathbb{S}^3} \newcommand{\spheretwo}{\mathbb{S}^2} \newcommand{\norm}[1]{\left\|#1\right\|} \newcommand{\quat}{\vecb{q}} \newcommand{\vecb}[1]{\mathbf{#1}} \newcommand{\quatreal}{q_w} %scalar normal \newcommand{\quatvec}{\quat_{x:z}} %vector bold \newcommand{\point}{\vecb{p}} \newcommand{\pos}{\vecb{t}} \newcommand{\vel}{\vecb{v}} \newcommand{\acc}{\vecb{a}} \newcommand{\angVel}{{\Vecb{\omega}}} \newcommand{\Vecb}[1]{\boldsymbol{#1}} \newcommand{\real}{\mathbb{R}} \newcommand{\rthree}{\real^3} \newcommand{\rthreebythree}{\real^{3 \times 3}} \newcommand{\rtwo}{\real^2} \newcommand{\cloud}[1]{\mathcal{#1}} \newcommand{\cloudsize}[1]{N_{\cloud{#1}}} \newcommand{\cloudi}[1]{\left\{\MakeLowercase{#1}_i\right\}} \newcommand{\cloudr}[1]{\{\MakeLowercase{#1}_1,\MakeLowercase{#1}_2,...,\MakeLowercase{#1}_{\cloudsize{#1}}\}} \newcommand{\clouddef}[1]{\cloud{#1}=\cloudi{#1}=\cloudr{#1}} \newcommand{\cloudfull}[1]{\clouddef{#1}, \MakeLowercase{#1}_i \in \rthree} \newcommand{\scalarfull}[1]{\clouddef{#1}, \MakeLowercase{#1}_i \in \real} \def\firstToLow#1{\expandafter\firstToLowA#1!!} \def\firstToLowA#1#2!!{\MakeLowercase{#1}#2} %chapter 2 %vector bold in math mode \newcommand{\vecb}[1]{\mathbf{#1}} %http://tex.stackexchange.com/questions/3535/bold-math-automatic-choice-between-mathbf-and-boldsymbol-for-latin-and-greek %\newcommand{\vect}[1]{\boldsymbol{\mathbf{#1}}} \newcommand{\Vecb}[1]{\boldsymbol{#1}} %matrix not italic in math mode %\newcommand{\matr}[1]{\mathrm{#1}} \newcommand{\mean}{{\Vecb{\mu}}} %\bar{p} \newcommand{\Cov}{\Sigma} %normal with error \newcommand{\normal}{\vec{\vecb{n}}} \newcommand{\eigsmall}{\lambda_0} \newcommand{\eigmiddle}{\lambda_1} \newcommand{\eiglarge}{\lambda_2} \newcommand{\eigVals}{\eigsmall \leq \eigmiddle \leq \eiglarge} \newcommand{\eigsum}{\eigsmall + \eigmiddle + \eiglarge} \newcommand{\eigVecSmall}[1][]{\vecb{e}_{0#1}} \newcommand{\eigVecMiddle}[1][]{\vecb{e}_{1#1}} \newcommand{\eigVecLarge}[1][]{\vecb{e}_{2#1}} \newcommand{\eigVecs}{\eigVecSmall,\eigVecMiddle,\eigVecLarge} %NLS \newcommand{\res}{\vecb{r}} %e \newcommand{\eres}{\vecb{e}} %e for our residuals \newcommand{\factor}{}%\frac{1}{2}} %%motion \newcommand{\SOthree}{\mathrm{SO}(3)} \newcommand{\sothree}{\mathfrak{so}(3)} \newcommand{\SUtwo}{\mathrm{SU}(2)} \newcommand{\sutwo}{\mathfrak{su}(2)} \newcommand{\spherethree}{\mathbb{S}^3} \newcommand{\spheretwo}{\mathbb{S}^2} %https://en.wikipedia.org/wiki/Rotation_group_SO(3)#Quaternions_of_unit_norm %SU(2) is isomorphic to the quaternions of unit norm via a map given by %https://en.wikipedia.org/wiki/Special_unitary_group %Therefore, as a manifold S3 is diffeomorphic to SU(2) and so SU(2) is a compact, connected Lie group. \newcommand{\SEthree}{\mathrm{SE}(3)} \newcommand{\sethree}{\mathfrak{se}(3)} %interpolation \def\Bezier{B\'ezier} \def\Bspline{B-spline} %chapter 3 \newcommand{\der}{\dot} \newcommand{\dder}{\ddot} \newcommand{\derFull}[1]{\frac{d #1}{d\timeVar}} \newcommand{\dderFull}[1]{\frac{d^2 #1}{d\timeVar^2}} \newcommand{\Der}[1]{#1'} \newcommand{\Dder}[1]{#1''} \newcommand{\timeVar}{\tau} \newcommand{\curr}{(\timeVar)} \newcommand{\diff}{\Delta \timeVar} \newcommand{\tnext}{(\timeVar+\diff)} \newcommand{\midpoint}{(\timeVar+ \frac{1}{2}\diff)} \newcommand{\world}{{_w}} \newcommand{\base}{{_s}} \newcommand{\point}{\vecb{p}} \newcommand{\pos}{\vecb{t}} \newcommand{\vel}{\vecb{v}} \newcommand{\acc}{\vecb{a}} \newcommand{\angVel}{{\Vecb{\omega}}} \newcommand{\quat}{\vecb{q}} \newcommand{\ori}{\quat} \newcommand{\matrixn}[1]{\mathrm{#1}} \newcommand{\R}{\matrixn{R}} \newcommand{\I}{\matrixn{I}} \newcommand{\T}{\matrixn{T}} %SE(3) homogeneous matrix \newcommand{\rr}{\vecb{r}} %linear rotation bosse slot \newcommand{\bias}{\base\vecb{b}}%\mathrm{bias}} \newcommand{\gravity}{\world\vecb{g}}%\mathrm{gravity}}%\vecb{g}} %continuity \newcommand{\C}[1]{C\textsuperscript{#1}} %icp correspondenced \newcommand{\pp}{\point} \newcommand{\pq}{\point'} \newcommand{\np}{\normal} \newcommand{\nq}{\normal'} \newcommand{\Covp}{\Cov} \newcommand{\Covq}{\Cov'} \newcommand{\mup}{\mean} \newcommand{\muq}{\mean'} %sweeps \newcommand{\pa}{\vecb{a}} \newcommand{\pb}{\vecb{b}} %chapter 4 approach \newcommand{\NC}{ \frac{1}{6} \begin{bmatrix*}[r] 0 & 1 & -2 & 1 \\ 0 & -3 & 3 & 0 \\ 0 & 3 & 3 & 0 \\ 6 & 5 & 1 & 0 \end{bmatrix*} } \newcommand{\N}[1]{\widetilde{\mathbf{N}}_{#1}} \newcommand{\Ndot}[1]{\der{\widetilde{\mathbf{N}}}_{#1}} \newcommand{\Ndotdot}[1]{\dder{\widetilde{\mathbf{N}}}_{#1}} \newcommand{\laserScans}{\mathcal{L}} \newcommand{\imuMeas}{\mathcal{M}} \newcommand{\sweeps}{\mathcal{S}} \newcommand{\sweepDur}{\Delta\timeVar_{Sweep}} \newcommand{\taus}{\Delta\timeVar_{basePoses}} \newcommand{\timeNow}{\timeVar_{curr}} \newcommand{\matchesSurfel}{\text{surfelMatches}} \newcommand{\matchesIMU}{\text{imuMatches}} \newcommand{\expi}[1]{\exp(\N{#1}\angVel_{#1})} \newcommand{\deri}[1]{(\Ndot{#1}\angVel_{#1})} \newcommand{\veli}[1]{\N{#1}\vel_{#1}} \newcommand{\velidot}[1]{\Ndot{#1}\vel_{#1}} \newcommand{\velidotdot}[1]{\Ndotdot{#1}\vel_{#1}} % norm \newcommand{\norm}[1]{\left\|#1\right\|} %\newcommand{\normtwo}[1]{\left\|\left\|#1\right\|\right\|^2} %\newcommand{\abs}[1]{ \left\lvert#1\right\rvert} % absolute value: single vertical bars \newcommand{\Norm}[1]{\left\lVert#1\right\rVert} % norm: double vertical bars \newcommand{\determinant}[1]{|#1|} % un demi \newcommand{\half}{\frac{1}{2}} % parantheses \newcommand{\parenth}[1]{ \left( #1 \right) } \newcommand{\bracket}[1]{ \left[ #1 \right] } \newcommand{\accolade}[1]{ \left\{ #1 \right\} } %\newcommand{\angle}[1]{ \left\langle #1 \right\rangle } % partial derivative: %#1 function, #2 which variable % simple / single line version \newcommand{\pardevS}[2]{ \delta_{#1} f(#2) } % fraction version \newcommand{\pardevF}[2]{ \frac{\partial #1}{\partial #2} } % render vectors: 3 and 4 dimensional \newcommand{\veciii}[3]{\left[ \begin{array}[h]{c} #1 \\ #2 \\ #3 \end{array} \right]} \newcommand{\veciv}[4]{\left[ \begin{array}[h]{c} #1 \\ #2 \\ #3 \\ #4 \end{array} \right]} \newcommand{\bfrac}[2]{\genfrac{}{}{0pt}{}{#1}{#2}} \newcommand{\rightleftlie}{\bfrac{\xrightarrow[]{\log}}{\xleftarrow[\exp]{}}} %chapter 4 approach \]

Introduction

stationary 3D scanner actuated 2D scanner

Simultaneous Localization And Mapping (SLAM)

Background

Rigid Body motion
\[ \begin{align} \text{Lie group} & \rightleftlie \text{Lie algebra} \\ \\ \mathrm{SO}(3) &\rightleftarrows \mathfrak{so}(3) \\ \mathrm{SU}(2) &\rightleftarrows \mathfrak{su}(2) \\ \mathrm{SE}(3) &\rightleftarrows \mathfrak{se}(3) \end{align} \]
unit quaternions \(\boxed{\SUtwo \cong \spherethree \cong \mathbb{H}_1 = \{\quat \in \mathbb{H} | \norm{\quat} = 1 \}}\) pure quaternions \(\boxed{\sutwo \cong \rthree \cong \mathbb{H}_0 = \{\quat \in \mathbb{H} | \quatreal = 0 \}} \)
\( \quat \in \spherethree \cong \SUtwo \rightleftlie \angVel \in \rthree \cong \sutwo \)
Sensors - LiDAR
Light Detection And Ranging
4,5kg 1,1kg 0,3kg weight
180° 270° 270° fov
1,00° 0,50° 0,25° res.
13.500 27.000 43.200 pts/s

\( \begin{pmatrix} x \\ y \end{pmatrix} = \begin{pmatrix} r\cos(\phi)\\ r\sin(\phi) \end{pmatrix} \\ \phi = \phi_0 + i\Delta\phi \)
Sensors - IMU
Inertial Measurement Unit


\( \newcommand{\angVelMeas}{\base\tilde\angVel\curr & = \base\angVel\curr + \bias_\angVel\curr + \mathcal{N}(\vecb{0},\vecb{\sigma}_\angVel)} \newcommand{\accMeas}{\base\tilde\acc\curr & = \base\acc\curr + \bar{\ori}\curr \gravity + \bias_\acc\curr + \mathcal{N}(\vecb{0},\vecb{\sigma}_\acc)} \begin{align} \angVelMeas &\text{angVel}\\ \accMeas &\text{linAcc} \end{align} \)
PCA
Prinical Component Analysis
NLS
Non-linear Least Squares: \( E(x) = \factor\sum_{i}^N \left\|f_i\left(x_{i_1}, ... ,x_{i_j}\right)\right\|^2 = \factor\sum_{i=1}^N \res_i^T \res_i = \factor\res^T\res \)

Levenberg-Marquardt step:
\( \Delta x = -(J^TJ + \lambda I)^{-1}J^T\res \)

Approach

composite cubic Bezier curve
cubic B-spline
cumulative quaternion B-spline \( \quat\curr = \quat_0 \prod_{i=1}^n \exp \big( \tilde{N}_i^k\curr \log(\quat_{i-1}^{-1}\quat_{i}) \big) \\ \newcommand{\NC}{ \frac{1}{6} \begin{bmatrix} 0 & 1 & -2 & 1 \\ 0 & -3 & 3 & 0 \\ 0 & 3 & 3 & 0 \\ 6 & 5 & 1 & 0 \end{bmatrix} } \tilde{N}(u) = [u^3, u^2, u, 1] \NC \\ \)
Algorithm

//in:   L Lidar scans    M IMU measurements
//out:  T Trajectory
T = initializeFromIMU(M)
for (i=0 , i < nsweeps , i++ ){
  S[i] = unprojectAndAccumulate(L[i*k],...,L[i*k+k])
  S[i].undistordAndComputeSurfel(T)
  if(i>0){
    imuMatches = imuDeviations(T,M[i-1],...,M[i+1])
    for (j=0 , j < nicp , j++){
      surfelMatches = kdTreeNNLookup(S[i],S[i-1])
      T = NLS(T,surfelMatches,imuMatches)
      S[i].updateSurfelWorldPositions(T)
    }
  }
}
Voxels and Surfels

\( P(\{\point_i\} \text{ describes plane}) = 2\frac{\eigmiddle-\eigsmall}{\eigsum} \)
Surfel Matches

Model Optimization
imuMatches:
\( \newcommand{\ppDistAbsSurfel}{\bar{d}(a_i,b_i)} \newcommand{\surfelTuple}{(\mean,\normal,\hat\Cov)} \begin{align} \base \eres_\angVel &= \base\tilde\angVel(\timeVar_k) - \base\angVel(\timeVar_k) - \bias_\angVel(\timeVar_k) \\ \base \eres_\acc &= \base\tilde\acc(\timeVar_k) - \bar\quat(\timeVar_k)\gravity - \base\acc(\timeVar_k) - \bias_\acc(\timeVar_k) \end{align} \)

surfelMatches:
\( \begin{align} \ppDistAbsSurfel &= \R_{a_i}\mean_{a_i} + \pos_{a_i} - (\R_{b_i}\mean_{b_i}+\pos_{b_i} )\nonumber \\ \eres_{a_i,b_i} &= \ppDistAbsSurfel^T (\R_h \hat\Cov_{a_i}\R_h^T + \R_k \hat\Cov_{b_i} \R_k^T)^{-1} \ppDistAbsSurfel \\ \\ \end{align} \) combined: \( E = (1-\alpha)\sum_{i=0}^{N} \eres_{a_i,b_i} + \alpha\sum_{j=1}^M\left( \eres_{\angVel_j}^T\Sigma_\angVel^{-1}\eres_{\angVel_j} + \eres_{\acc_j}^T\Sigma_\acc^{-1}\eres_{\acc_j} \right) \)
Time-windowed optimization
Global optimization

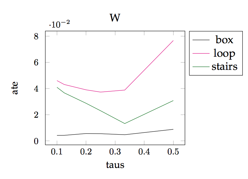
Evaluation

Noise and knot spacing

box

loop

stairs